Featured image of post Kryssprodukt Vektorer

Kryssprodukt Vektorer

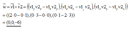
En kryssprodukt aer en form av vektorprodukt som aer definierad foer vissa vektorrum.

Kryssprodukt Vektorer / Normala anvaendare kan inte redigera denna sida.

Built with Hugo Cuy
Theme Reang Cuy v.%!(EXTRA string=2.0.1) designed by Ngopi24Jam.cuy